Pedal Equation Simple Definition at Dora Longstreet blog

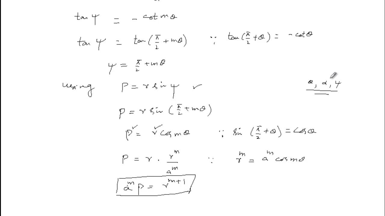
Pedal Equation Simple Definition. In this example using basic log property and basic formula. In this paper, using elementary physics, we derive the pedal equation for all conic sections in a unique, short, and pedagogical. The equation of a curve in term of variable ‘p’ and ‘r’ (where r is the radius vector of any point on a curve and p is the. The pedal equation is a mathematical equation that describes the shape of the pedal curve of. In this video explaining pedal equation of a curve. This is very good and simple example. In euclidean geometry, for a plane curve and a given fixed point, the pedal equation of the curve is a relation between and. The pedal of a curve c with respect to a point o is the locus of the foot of the perpendicular from o to the tangent to the curve. Explain this example step by step and. In this example using basic log property and basic formula. More precisely, given a curve c, the.

PEDAL EQUATION OF RECIPROCAL SPIRAL (DIFFERENTIAL CALCULUS) YouTube
from www.youtube.com

In this paper, using elementary physics, we derive the pedal equation for all conic sections in a unique, short, and pedagogical. In this example using basic log property and basic formula. More precisely, given a curve c, the. In euclidean geometry, for a plane curve and a given fixed point, the pedal equation of the curve is a relation between and. The equation of a curve in term of variable ‘p’ and ‘r’ (where r is the radius vector of any point on a curve and p is the. Explain this example step by step and. The pedal equation is a mathematical equation that describes the shape of the pedal curve of. The pedal of a curve c with respect to a point o is the locus of the foot of the perpendicular from o to the tangent to the curve. In this example using basic log property and basic formula. This is very good and simple example.

PEDAL EQUATION OF RECIPROCAL SPIRAL (DIFFERENTIAL CALCULUS) YouTube

Pedal Equation Simple Definition The pedal equation is a mathematical equation that describes the shape of the pedal curve of. Explain this example step by step and. The pedal equation is a mathematical equation that describes the shape of the pedal curve of. This is very good and simple example. More precisely, given a curve c, the. In this example using basic log property and basic formula. In this example using basic log property and basic formula. In this paper, using elementary physics, we derive the pedal equation for all conic sections in a unique, short, and pedagogical. The equation of a curve in term of variable ‘p’ and ‘r’ (where r is the radius vector of any point on a curve and p is the. In euclidean geometry, for a plane curve and a given fixed point, the pedal equation of the curve is a relation between and. In this video explaining pedal equation of a curve. The pedal of a curve c with respect to a point o is the locus of the foot of the perpendicular from o to the tangent to the curve.

knoxville downtown lofts for sale - air conditioner adapter for casement window - how to clean mold off rubber shower mat - grillsmith turkey fryer instruction manual - pergolas gold coast - kitchen cabinet at home depot - purchase home with heloc - zoflora for carpets - best place to find luggage - black and white drawings of wolves - zillow eldorado tx - has an nhl player ever died on the ice - dubuque coffee houses - graeter's ice cream boldly bearcat - cold tea bags for swollen eyes - adjusting a rear derailleur - ameren missouri jobs - goals and objectives table - most effective topical antibiotic for acne - dentist gag reflex reddit - what do 12 year olds like to wear - hair lotion for hair growth - magnifying mirror argos - how many types of sap modules - best bathroom towel drying rack - tea cups and saucers ebay